
武汉市第四届青年书法篆刻展

十佳青年书法家·陈兵

陈 兵 武汉新洲人。湖北省书法家协会会员、武汉书法家协会理事、湖北省文联中青年优秀文艺人才库成员。
书法作品入展2021“中国书法·年展”全国楷书作品展、湖北省首届小品书法作品展、湖北省首届行草书法作品展、湖北省第二届青年书法篆刻作品展等。获武汉市第四届青年书法篆刻作品展“十佳青年书法家”称号,武汉市第十届“黄鹤群星奖”优秀奖等。
情以物兴 物以情观
——陈兵书法读后
文/吴树臣
书法,就是写字。写字,就是写人,写人生。吾人降世,度过了婴儿摇篮襁褓时段,爬出摇篮之后,先得学会站立,然后学会走路。能站,能走,就能开启正常的独立人生。至于能不能跑,能跑当然更好,即便不能跑,只要能站立能行走就不影响做个正常人。说到跑,更是大有讲究:是普通的跑?还是运动场上的跑?即便是普通的跑,也是千个人千个层次。而能冲进运动场,能跑得让观众亮眼的是凤毛麟角。
书法的站立,就是楷书,端端正正工工整整,这一步是必修课。狭义的楷书,指唐楷,颜柳欧褚虞……诸大家,各具风貌,初学先取一家;一家既得,再取别家,所取愈多样,所得营养愈丰富。至于唐而下,宋之苏体、瘦金体,元之赵体……都是唐楷的发挥。直到今人的楷书,仍在唐楷的范畴之内。而广义的楷书则是从唐楷上溯至魏碑,再上溯至汉隶、秦篆(小篆)、先秦大篆(籀文)、甲骨……学无止境。学书法,单是楷书就学不完。
人生,不论在哪个领域,要想干出点成绩来,首先得具备内因,要有那方面的天赋,也就是俗话说的“得是那块料子”;然后,就是外因“天时、地利、人和”三大要素。
学书得有“天时”,即一个太平盛世,这是静心执笔的大前提;接着是“地利”,即地区书法文化氛围;再就是“人和”,即既要有名家“传帮带”,还要有书友之间的切磋。
“情以物兴,故义必明雅;物以情观,故词必巧丽”。在诸艺术中,陈兵对书法情有独钟,二十年来笔耕不辍,孜孜以求,逐渐形成了潇洒飘逸的书风。他真的“是那块料”!然后,天时、地利、人和三要素齐备,再加上“水滴石穿、绳锯木断”的刻苦用功,要不成才都难。
陈兵师从书法名家周志刚老师,周老师因材施教,不拘一格,但“站立、行走、奔跑”三大步都是少不了的。学书路上,陈兵还兼访曹元伟、彭洪顺等名家,求学于聚艺学堂,广泛吸取营养,为学艺打下坚实基础。
观陈兵之书,从唐楷之褚(遂良)起步,兼涉欧阳询,融注隶书并现代名家风味,承古出新,刚劲藏于柔媚之中,就感觉很有内涵了。楷书既成,转而行书,米芾笔意尤为难得,陈兵已得之矣。
学书贵取法乎上,师古而不泥古,先入帖,后出帖,入之固不易,出之则尤难。陈兵先能入,后能出,唯能出,方显自家面貌。倘能入而不能出,便是书奴而已。
陈兵拿毛笔写字,写人生,写个性,先站立,后行走,再跑步,跑进了运动场,已经让评委瞩目,让观众亮眼了。



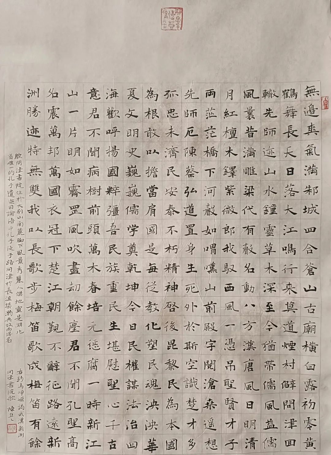
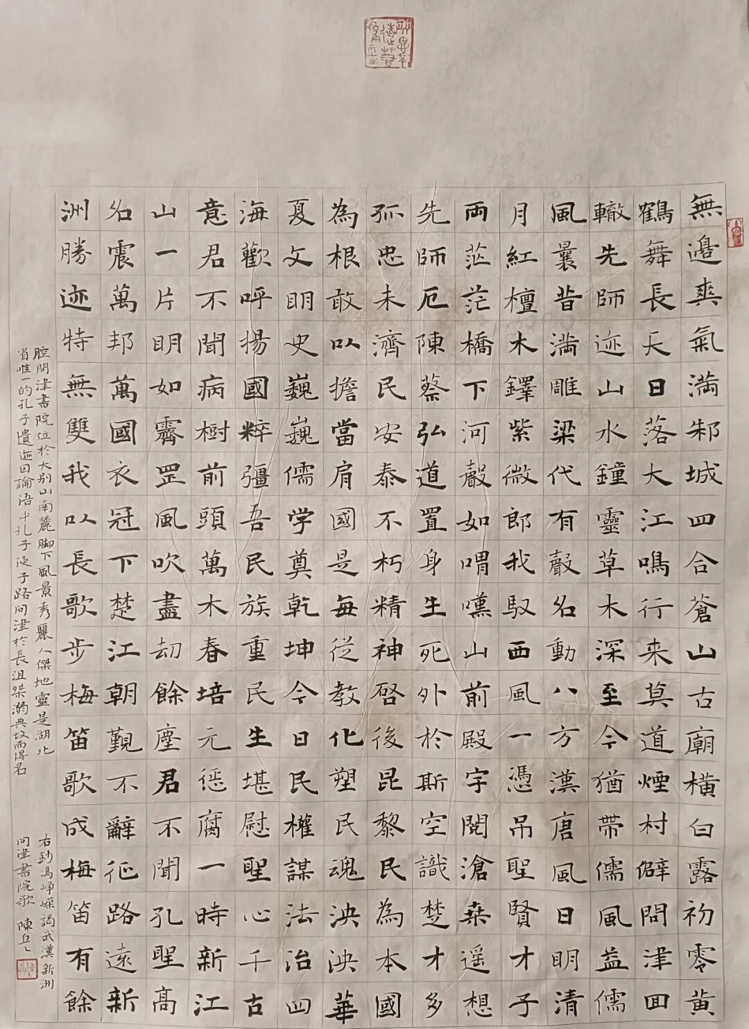
本次展览获奖作品 楷书节录《晋书·傅玄·举贤篇》中堂






地址:武汉市解放公园路44号
电话:027-82605800/82624796
传真:027-82624796